Skip to content

ShangtongZhang/reinforcement-learning-an-introduction

Repository files navigation

Reinforcement Learning: An Introduction

Build Status

Python replication for Sutton & Barto's book Reinforcement Learning: An Introduction (2nd Edition)

If you have any confusion about the code or want to report a bug, please open an issue instead of emailing me directly, and unfortunately I do not have exercise answers for the book.

Contents

Chapter 1

  1. Tic-Tac-Toe

Chapter 2

  1. Figure 2.1: An exemplary bandit problem from the 10-armed testbed
  2. Figure 2.2: Average performance of epsilon-greedy action-value methods on the 10-armed testbed
  3. Figure 2.3: Optimistic initial action-value estimates
  4. Figure 2.4: Average performance of UCB action selection on the 10-armed testbed
  5. Figure 2.5: Average performance of the gradient bandit algorithm
  6. Figure 2.6: A parameter study of the various bandit algorithms

Chapter 3

  1. Figure 3.2: Grid example with random policy
  2. Figure 3.5: Optimal solutions to the gridworld example

Chapter 4

  1. Figure 4.1: Convergence of iterative policy evaluation on a small gridworld
  2. Figure 4.2: Jack’s car rental problem
  3. Figure 4.3: The solution to the gambler’s problem

Chapter 5

  1. Figure 5.1: Approximate state-value functions for the blackjack policy
  2. Figure 5.2: The optimal policy and state-value function for blackjack found by Monte Carlo ES
  3. Figure 5.3: Weighted importance sampling
  4. Figure 5.4: Ordinary importance sampling with surprisingly unstable estimates

Chapter 6

  1. Example 6.2: Random walk
  2. Figure 6.2: Batch updating
  3. Figure 6.3: Sarsa applied to windy grid world
  4. Figure 6.4: The cliff-walking task
  5. Figure 6.6: Interim and asymptotic performance of TD control methods
  6. Figure 6.7: Comparison of Q-learning and Double Q-learning

Chapter 7

  1. Figure 7.2: Performance of n-step TD methods on 19-state random walk

Chapter 8

  1. Figure 8.2: Average learning curves for Dyna-Q agents varying in their number of planning steps
  2. Figure 8.4: Average performance of Dyna agents on a blocking task
  3. Figure 8.5: Average performance of Dyna agents on a shortcut task
  4. Example 8.4: Prioritized sweeping significantly shortens learning time on the Dyna maze task
  5. Figure 8.7: Comparison of efficiency of expected and sample updates
  6. Figure 8.8: Relative efficiency of different update distributions

Chapter 9

  1. Figure 9.1: Gradient Monte Carlo algorithm on the 1000-state random walk task
  2. Figure 9.2: Semi-gradient n-steps TD algorithm on the 1000-state random walk task
  3. Figure 9.5: Fourier basis vs polynomials on the 1000-state random walk task
  4. Figure 9.8: Example of feature width’s effect on initial generalization and asymptotic accuracy
  5. Figure 9.10: Single tiling and multiple tilings on the 1000-state random walk task

Chapter 10

  1. Figure 10.1: The cost-to-go function for Mountain Car task in one run
  2. Figure 10.2: Learning curves for semi-gradient Sarsa on Mountain Car task
  3. Figure 10.3: One-step vs multi-step performance of semi-gradient Sarsa on the Mountain Car task
  4. Figure 10.4: Effect of the alpha and n on early performance of n-step semi-gradient Sarsa
  5. Figure 10.5: Differential semi-gradient Sarsa on the access-control queuing task

Chapter 11

  1. Figure 11.2: Baird's Counterexample
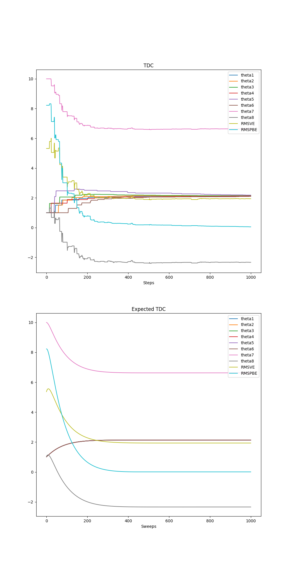
  2. Figure 11.6: The behavior of the TDC algorithm on Baird’s counterexample
  3. Figure 11.7: The behavior of the ETD algorithm in expectation on Baird’s counterexample

Chapter 12

  1. Figure 12.3: Off-line λ-return algorithm on 19-state random walk
  2. Figure 12.6: TD(λ) algorithm on 19-state random walk
  3. Figure 12.8: True online TD(λ) algorithm on 19-state random walk
  4. Figure 12.10: Sarsa(λ) with replacing traces on Mountain Car
  5. Figure 12.11: Summary comparison of Sarsa(λ) algorithms on Mountain Car

Chapter 13

  1. Example 13.1: Short corridor with switched actions
  2. Figure 13.1: REINFORCE on the short-corridor grid world
  3. Figure 13.2: REINFORCE with baseline on the short-corridor grid-world

Environment

Usage

All files are self-contained

python any_file_you_want.py

Contribution

If you want to contribute some missing examples or fix some bugs, feel free to open an issue or make a pull request.

About

Python Implementation of Reinforcement Learning: An Introduction

Topics

Resources

License

Stars

Watchers

Forks

Contributors

Languages